Предмет: Алгебра,
автор: skays
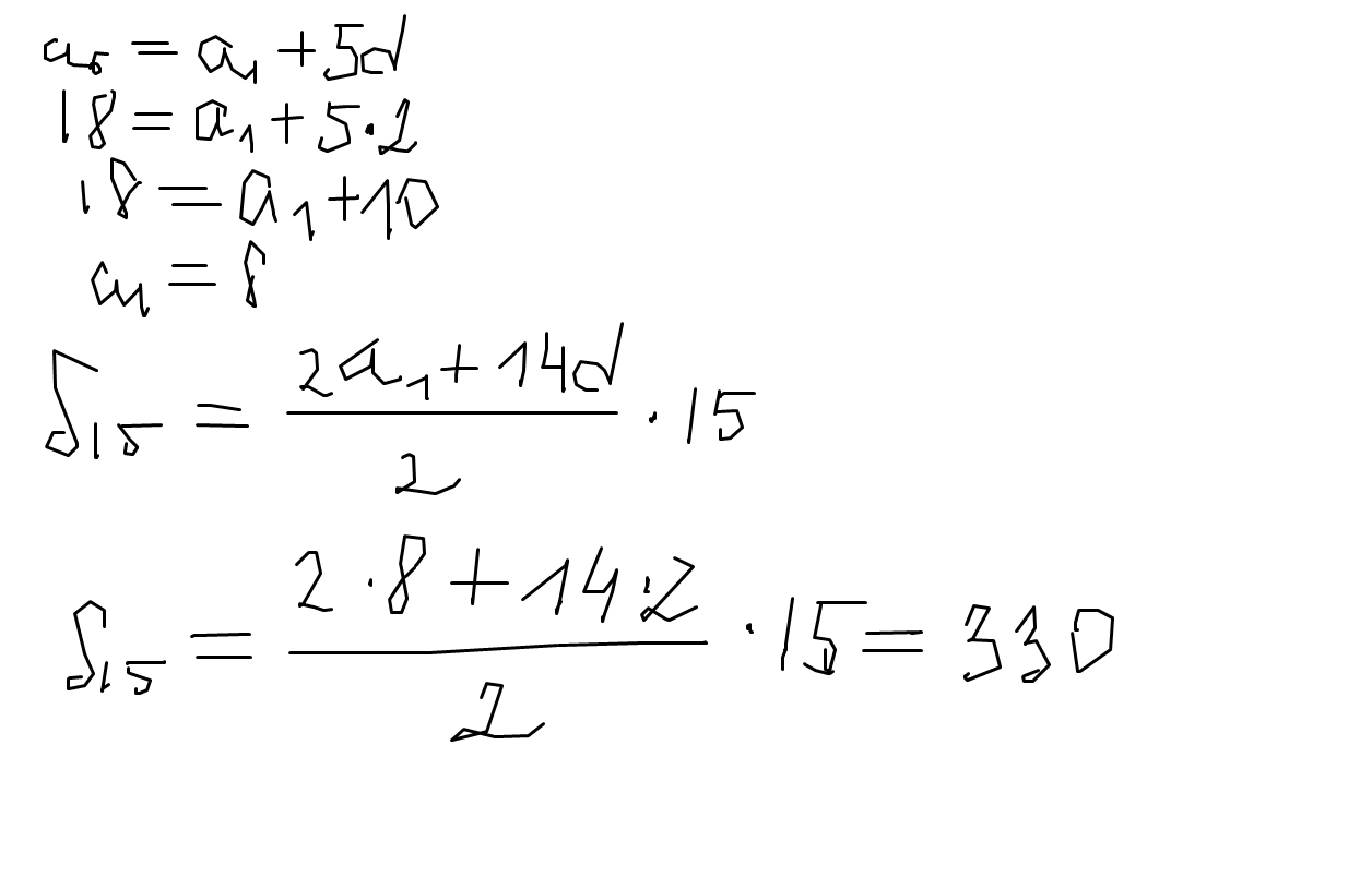
дана арифметическая прогрессия (an) вычислить сумму 15 членов ,если а6=18, d=2
Ответы
Автор ответа:
0
.........................................................................
Приложения:
Похожие вопросы
Предмет: Экономика,
автор: neverovaekaterina70
Предмет: Математика,
автор: damirkuzmenko06
Предмет: Английский язык,
автор: liliya8628
Предмет: Математика,
автор: НастасьяН
Предмет: Биология,
автор: хомячочек