Предмет: Алгебра,
автор: Аноним
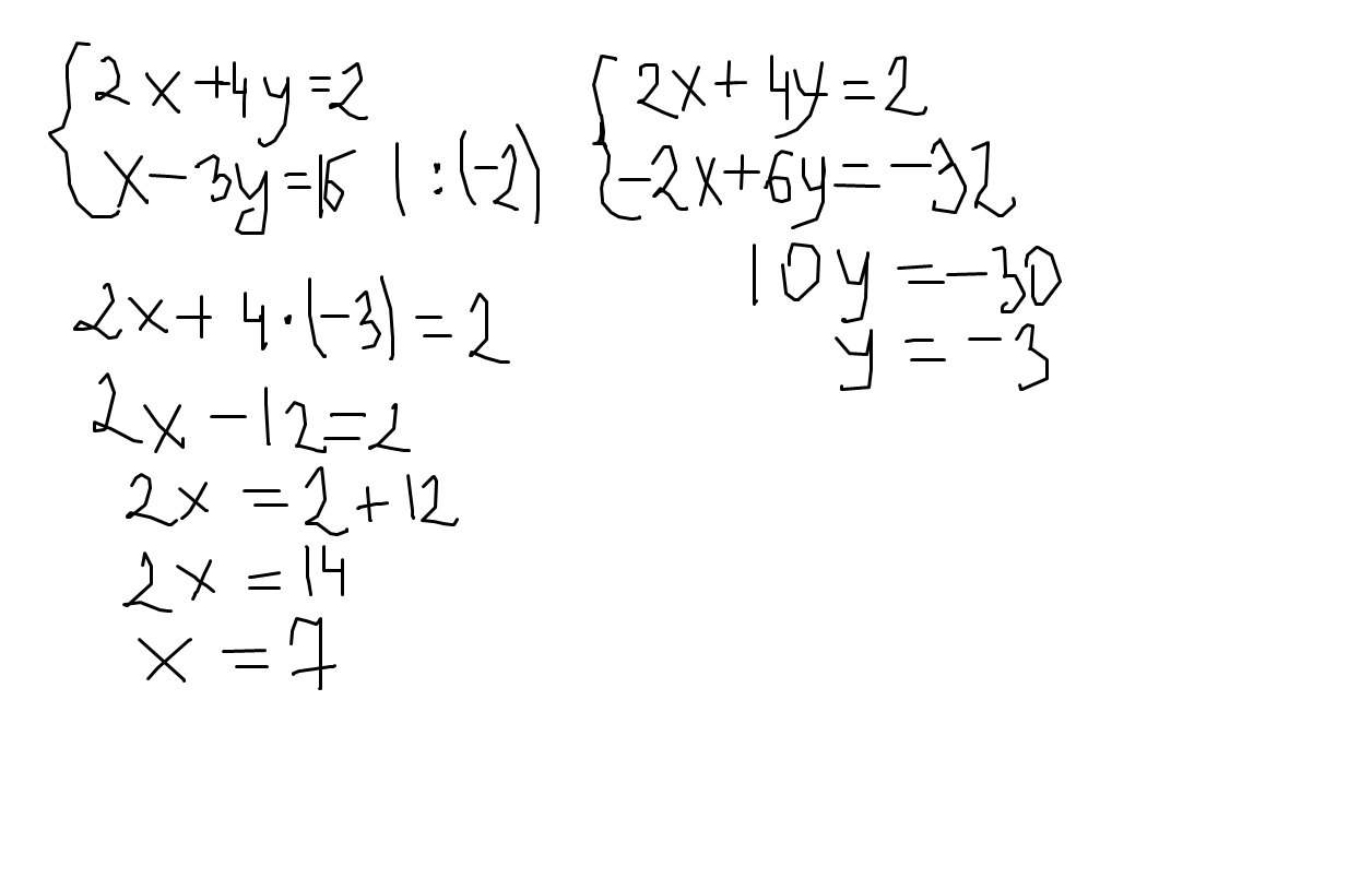
решите систему уравнений 2х +4у =2 х-3у=16
Ответы
Автор ответа:
0
..................................................................................
Приложения:
Похожие вопросы
Предмет: Русский язык,
автор: bolginbaevaalb
Предмет: Математика,
автор: Аноним
Предмет: География,
автор: sheba91
Предмет: Математика,
автор: kazyava
Предмет: Математика,
автор: 7771717c