Предмет: Алгебра,
автор: Аноним
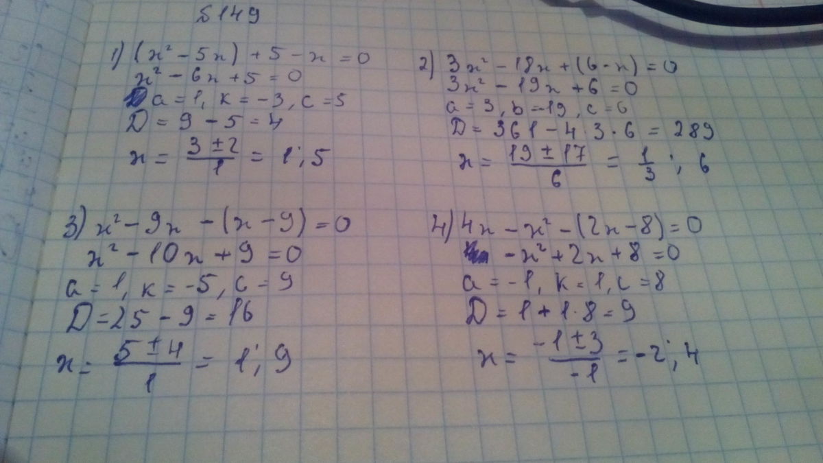
решите уравнение !!!!!!!!!
Приложения:
Ответы
Автор ответа:
0
Отвечу ещё раз))))))
Приложения:
Похожие вопросы
Предмет: Геометрия,
автор: guzel0808
Предмет: Другие предметы,
автор: galtserkir
Предмет: Математика,
автор: Vika26835
Предмет: Обществознание,
автор: liza12sharkova