Предмет: Алгебра,
автор: Sofyia120401
Решите уравнение 6х^4-5х^2-1=0
Ответы
Автор ответа:
0
Вот, держи
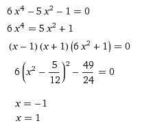
Я думаю не стоит объяснять, все примитивно.
Я думаю не стоит объяснять, все примитивно.
Приложения:
Автор ответа:
0
Там изображение с решением
Автор ответа:
0
да
Автор ответа:
0
6х'4-5х'2-1=0
Пусть х'2=м; тогда уравнение принимает вид:
6м'2-5м-1=0
D=b'2-4ac=25+24=49
M=1 ili m=-1/6
Обратная замена
Х'2=1 или х'2=-1/6 (корней нет)
Х =1 или х=-1
Пусть х'2=м; тогда уравнение принимает вид:
6м'2-5м-1=0
D=b'2-4ac=25+24=49
M=1 ili m=-1/6
Обратная замена
Х'2=1 или х'2=-1/6 (корней нет)
Х =1 или х=-1
Приложения:
Похожие вопросы
Предмет: Математика,
автор: lerasmail82
Предмет: Другие предметы,
автор: eilasova84
Предмет: Литература,
автор: kirillkovalenko20
Предмет: Геометрия,
автор: Майя16577544