Предмет: Математика,
автор: funnyHij
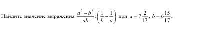
Найдите значение выражения.
Приложения:
Ответы
Автор ответа:
0
a²-b²ab:(1b-1a)=(a-b)(a+b)ab:(a-b)ab=(a-b)(a+b)ab*ab(a-b)=(a+b)
a+b=7 217+ 6 1517=12117+11717=121+11717=23817=14
a+b=7 217+ 6 1517=12117+11717=121+11717=23817=14
Похожие вопросы
Предмет: Қазақ тiлi,
автор: yanacvetlana
Предмет: Литература,
автор: dashaf854
Предмет: Математика,
автор: polyakova23121983
Предмет: География,
автор: madykosh
Предмет: География,
автор: галаов