Предмет: Математика,
автор: Gellermariya
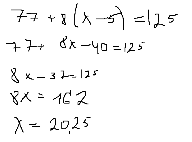
Решите уравнение плиз 77+8*(×-5)=125
Ответы
Автор ответа:
0
Решается вот так вот, Думаю что правильно решил
Приложения:
Автор ответа:
0
Пожалуйста поставь как лучший ответ, заранее спасибо
Автор ответа:
0
если она напишет 20,25,то учитель подчеркнёт. в математике решают так либо в физике или в 11 классе,точно не знаю.
Автор ответа:
0
77+8(х-5)=125
8*(х-5)-127-77
8*(х-5)=48
х-5=48:8
х-5=6
х=6+5
х=11
77+8*(11-5)=125
125=125
8*(х-5)-127-77
8*(х-5)=48
х-5=48:8
х-5=6
х=6+5
х=11
77+8*(11-5)=125
125=125
Приложения:
Автор ответа:
0
Анастасия спасибо большое
Автор ответа:
0
Неправильно решено
Автор ответа:
0
у тебя не правильно, у меня всё правильно. Я его тоже решала в домашке,и мне учительница поставила 5! Ничего не знаю!
Похожие вопросы
Предмет: Геометрия,
автор: berlinskiys
Предмет: Русский язык,
автор: alisatretyakova10
Предмет: Алгебра,
автор: looold
Предмет: Математика,
автор: nastik2002kot
Предмет: Алгебра,
автор: braevzaur