Предмет: Алгебра,
автор: mileycyrsmoking
ааааааааааааааааааааааааваавв
Приложения:
Ответы
Автор ответа:
0
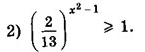
Решение смотри в приложении
Приложения:
Похожие вопросы
Предмет: История,
автор: tresherXXX
Предмет: Русский язык,
автор: Ainur1234t
Предмет: Математика,
автор: Аноним
Предмет: Математика,
автор: Lynda82
Предмет: Математика,
автор: zcraft05