Предмет: Математика,
автор: andruj
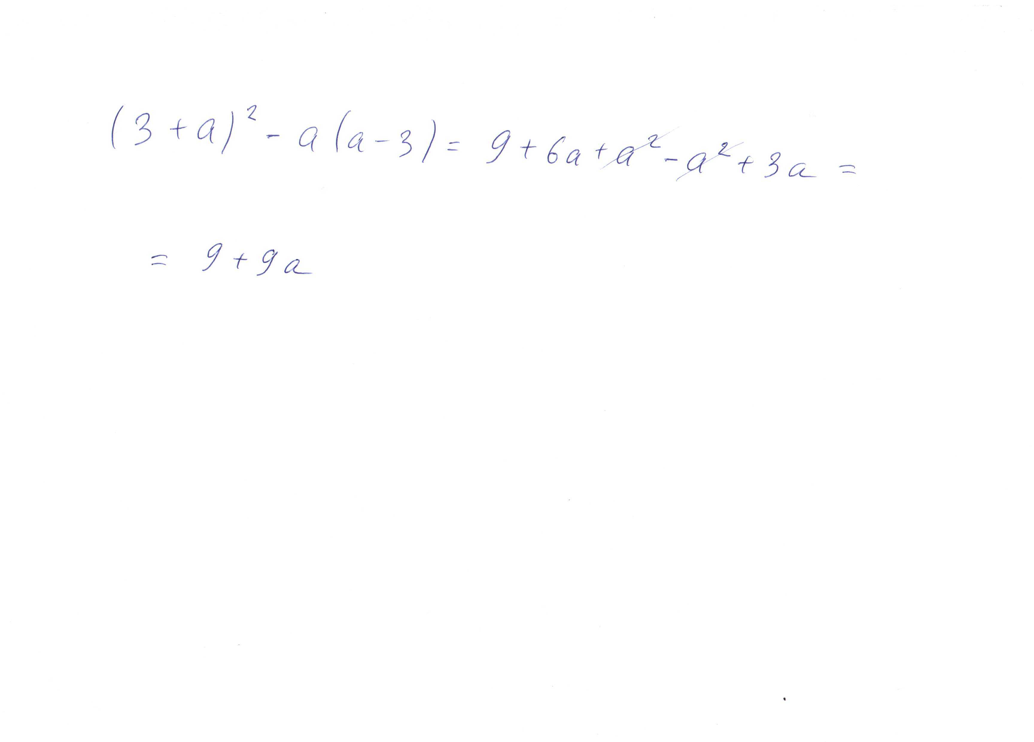
Упростите выражение (3+a)^2-a(a-3) и найдите его значение при a=-1/9 ПОЖАЛУЙСТА ПОМОГИТЕ СРОЧНО НАДО !!!
Ответы
Автор ответа:
0
Смотри вложение.......................................................
Теперь подставляем а=-1/9
9+9*(-1/9)=9-1=8
Ответ: 8
Приложения:
Автор ответа:
0
(3+a)^2-a(a-3) = 9(а+1)
1) (3+a)^2 = 9+6а+а^2
2)-а^2+3а
3) 9+6а+а^2-а^2+3а=9а+9=9(а+1)
Приложения:
Похожие вопросы
Предмет: Математика,
автор: aiymnazarbayeva88
Предмет: Русский язык,
автор: gtitov411
Предмет: Қазақ тiлi,
автор: DayanaBTS
Предмет: Физика,
автор: miku0panda
Предмет: Математика,
автор: Аноним