Предмет: Математика,
автор: каролина46
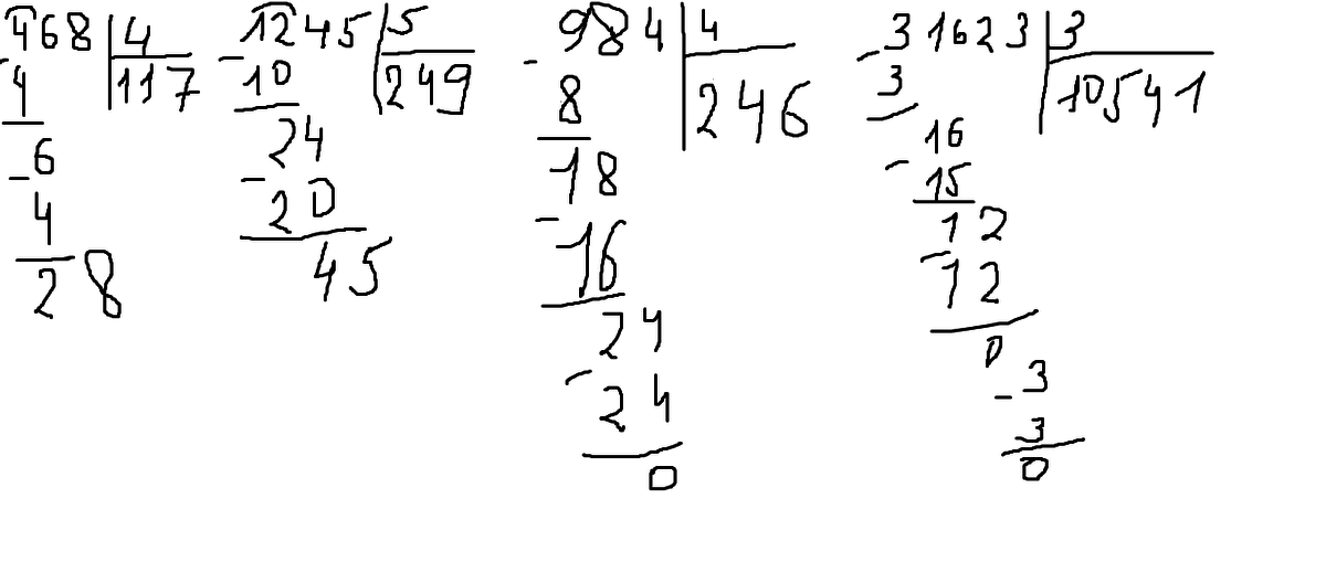
решите уголком 468:4 1245:5 984:4 31623:3 7245:5
Ответы
Автор ответа:
0
1) 468 : 4 = 117
2) 1245 : 5 = 249
3) 984 : 4 = 246
4) 31623 : 3 = 10541
5) 7245 : 5 = 1149
Вот фото тут решено!
Приложения:
Похожие вопросы
Предмет: Русский язык,
автор: hakimov000001111
Предмет: Қазақ тiлi,
автор: Zhanaraben
Предмет: Қазақ тiлi,
автор: aruzhankim1830
Предмет: История,
автор: анечка1234567891