Предмет: Алгебра,
автор: alena7755
Помогите с тригонометрией
решение подробно,если можно
заранее спасибо!))
Приложения:
Ответы
Автор ответа:
0
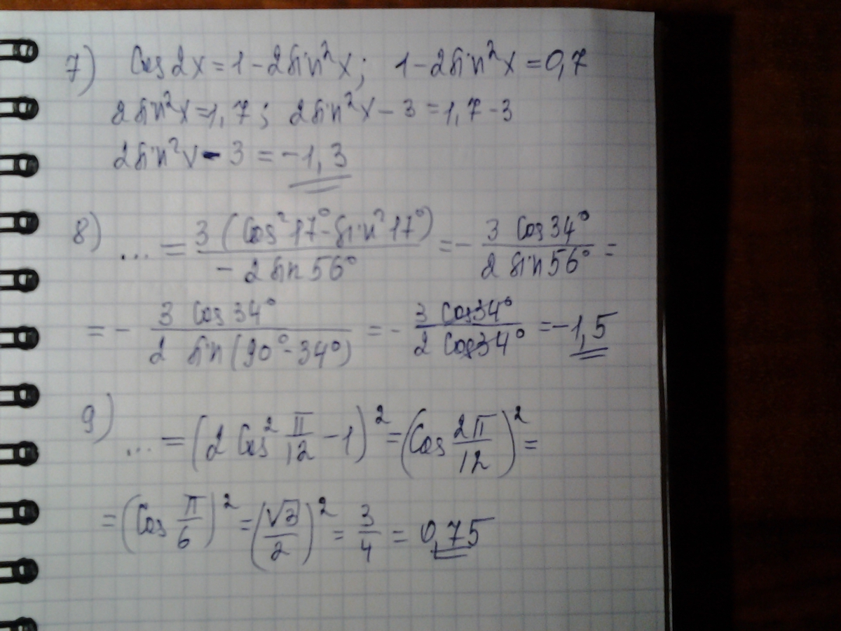
Использована формула косинуса двойного угла, формула приведения
Приложения:
Автор ответа:
0
Спасибо вам большое!!
Автор ответа:
0
Успехов!
Похожие вопросы
Предмет: Литература,
автор: semenshhenikov
Предмет: Английский язык,
автор: Аноним
Предмет: Информатика,
автор: bilus617
Предмет: Геометрия,
автор: olesya347