Предмет: Математика,
автор: ксюша417
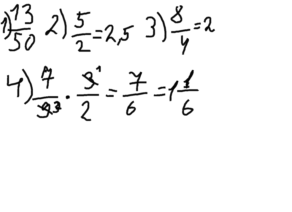
запишите с помошью черты дроби отношение чисел 13 и 50;5 и 2;8 и4,6; 7/9 и 2/3
Ответы
Автор ответа:
0
....................
Приложения:
Похожие вопросы
Предмет: Алгебра,
автор: antonkylikov1999
Предмет: Математика,
автор: kusoktortika
Предмет: Математика,
автор: cblossova
Предмет: Литература,
автор: ehkalol
Предмет: Алгебра,
автор: кратохвил