Предмет: Алгебра,
автор: Аноним
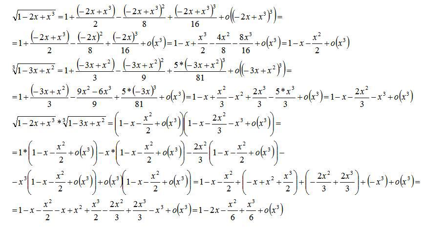
Написать разложение по целым положительным степеням переменной x до
включительно, используя формулу Маклорена:
.
Работать с остаточным членом в форме Пеано.
Ответы
Автор ответа:
0
смотри решение во вложении
Приложения:
Автор ответа:
0
Спасибо, вы терпеливый человек)
Автор ответа:
0
)))
Похожие вопросы
Предмет: Физика,
автор: anechka1127
Предмет: Қазақ тiлi,
автор: ashatbauirzhan05
Предмет: Другие предметы,
автор: imangazineskendir
Предмет: Литература,
автор: vipladusya
Предмет: Математика,
автор: Polinka130