Предмет: Алгебра,
автор: lyanova1
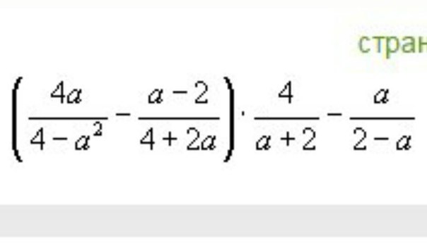
Помогите пожалуйста по алгебре.
Варианты ответов:
1)2
2)-1
3)1
4)3+а2-а
5)2а2-а
Приложения:
Ответы
Автор ответа:
0
1)4a/(2-a)(2+a)-(a-2)/2(2+a)=(8a-2a+4+a²-2a)/2(2-a)(2+a)=(a²+4a+4)/2(2-a)(2+a)=
=(a+2)²/2(2-a)(2+a)=(a+2)/2(2-a)
2)(a+2)/2(2-a)*4/(a+2)=2/(2-a)
3)2/(2-a)-a/(2-a)=(2-a)/(2-a)=1
=(a+2)²/2(2-a)(2+a)=(a+2)/2(2-a)
2)(a+2)/2(2-a)*4/(a+2)=2/(2-a)
3)2/(2-a)-a/(2-a)=(2-a)/(2-a)=1
Похожие вопросы
Предмет: ОБЖ,
автор: milena250811
Предмет: Информатика,
автор: manukranian
Предмет: Русский язык,
автор: Аноним
Предмет: Физика,
автор: nastyyaa2000