Предмет: Алгебра, автор: Аноним

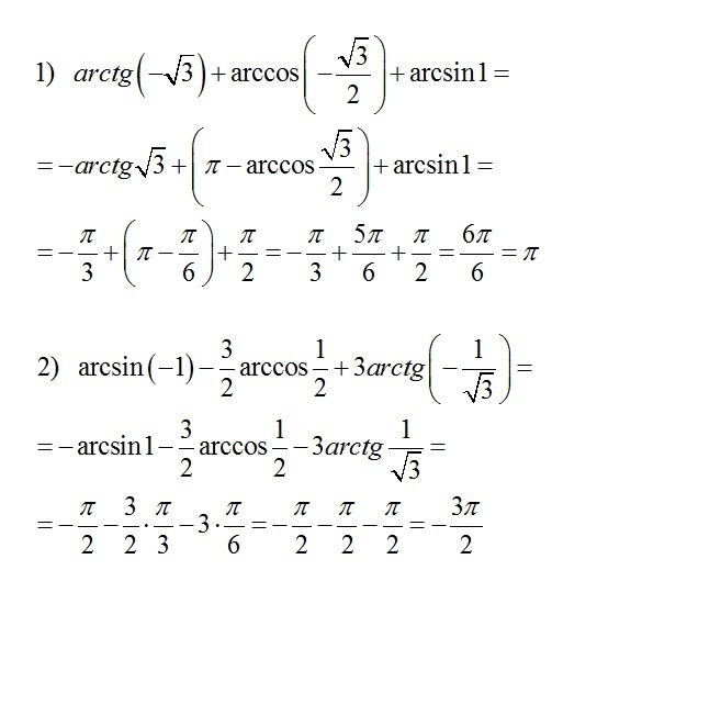
1) arctg(-√3)+arccos(-√3/2)+arcsin1=
2)arcsin(-1)-3/2 arccos1/2+3arctg(-1/√3)= срочно!!!!!!!!!!

Ответы

Автор ответа: tgz
0
Решение на приложенном изображении.
Приложения:
Похожие вопросы
Предмет: Информатика, автор: linkalina748
 даны числа 400, 121, 93,80, 4. прочитай правила и запиши на каждом листке.                                                                                                                                                                                                                                                                                                          если число нечётное то его записывают на листке с подписью дик                                                                                                                                                                                если число нечётное и трехзначное то его записывают на листке с подписью ник                                                                                                                                                          если число четное или трехзначное то его записывают на листке с подписью рик                                                                                                                                                          если число чётное и нетрёзначное то его записываем на листке с подписью вик