Предмет: Математика,
автор: shamshievaadel
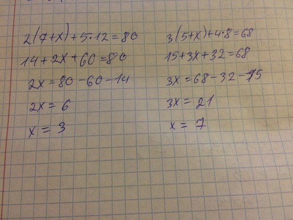
Помогите решить: 2×(7+X)+5×12=80 и 3×(5+X)+4×8=68
Ответы
Автор ответа:
0
/////////////////////////////////////////////
Приложения:
Автор ответа:
0
2*(7+x)+5*12=80
14+2x+60=80
2x=80-14-60
2x=6
x=6:2
x=3
3*(5+x)+4*8=68
15+3x+32=68
3x=68-15-32
3x=31
x=21:3
x=7
14+2x+60=80
2x=80-14-60
2x=6
x=6:2
x=3
3*(5+x)+4*8=68
15+3x+32=68
3x=68-15-32
3x=31
x=21:3
x=7
Приложения:
Похожие вопросы
Предмет: Физика,
автор: pavel5612
Предмет: Физкультура и спорт,
автор: faraoaoa
Предмет: Алгебра,
автор: soleniiperez
Предмет: Математика,
автор: ruzi2001
Предмет: Геометрия,
автор: nekitkagluk