Предмет: Алгебра,
автор: daryshka
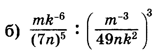
Выполните, пожалуйста, действия
Приложения:
Ответы
Автор ответа:
0
[m×k^(-6)×(7²nk²)³]÷(7^5×n^5×k^9)=7/n²×m^8
Похожие вопросы
Предмет: Геометрия,
автор: nikitagur
Предмет: Русский язык,
автор: dayanaaas
Предмет: Биология,
автор: minecraft1234455
Предмет: Математика,
автор: gabdulhakova200
Предмет: Математика,
автор: julia2001miss