Предмет: Алгебра,
автор: Ксения22021998
Найдите корни уравнения:
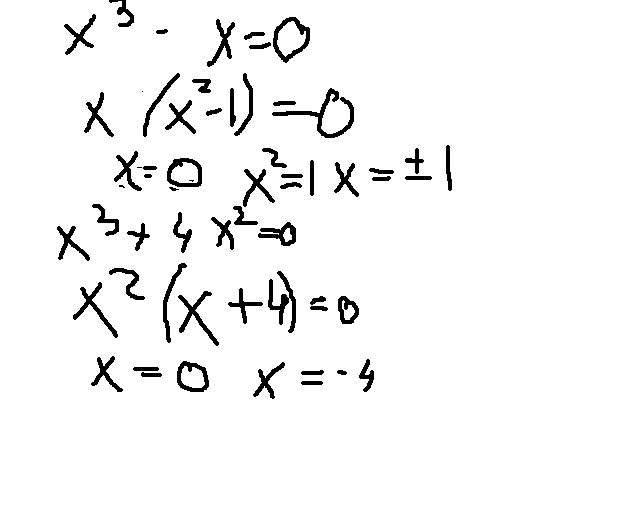
а) x^3-x=0
б) x^3+4x^2=0
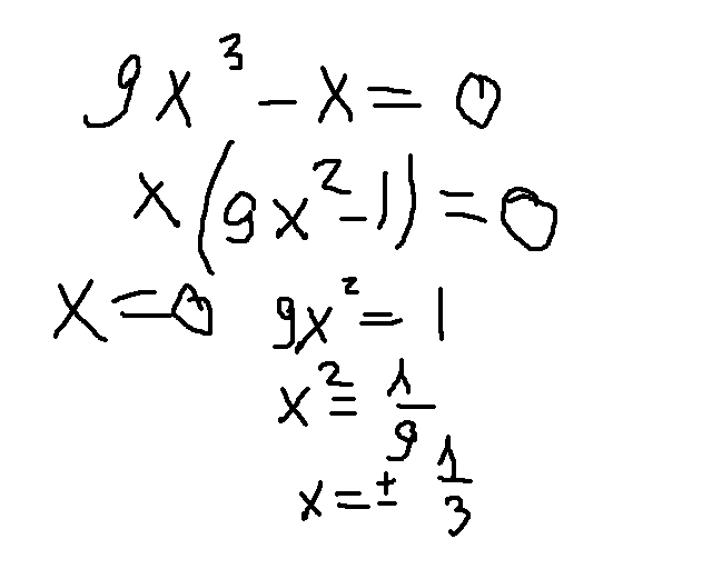
с) 9x^3-x=0
Пожалуйста решите прямо сейчас.
Ответы
Автор ответа:
0
решение во вложениях)))))))))))))
Приложения:
Похожие вопросы
Предмет: Английский язык,
автор: mnursaule2000
Предмет: ОБЖ,
автор: awak76
Предмет: Математика,
автор: kasykbaevadilzan
Предмет: Математика,
автор: rodionova2001