Предмет: Физика,
автор: ңен
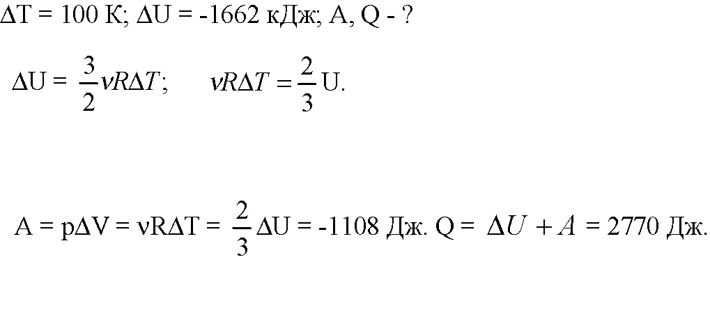
при изобарном охлаждении на 100 к внутренняя энергия одноатомного идеального газа уменьшилась на 1662 кдж рассчитайте работу,которую совершил при этом газ и опредлите количество теплоты которое было им передано окружающими телами
Ответы
Автор ответа:
0
Во вложениях.
+++++++++++++++++++++++++++
Приложения:
Автор ответа:
0
Решение
найдем работу для начала:
A=P * дельтаV=nR* дельта T=2/3 дельта U=-1108 минус означает, что направление силы и перемещения не совпадают, это нормально)
пр 1 закону термодинамики:
Q=дельта U+A=2770 Дж - Q - скалярная величина, поэтому минус перед числом не имел бы смысла
Ответ: A= 1108 Дж,Q=2770 Дж.
Приложения:
Похожие вопросы
Предмет: Математика,
автор: kulzhumanovag
Предмет: Литература,
автор: zarinaraimzhanova277
Предмет: Литература,
автор: Аноним
Предмет: Математика,
автор: nikbeslan
Предмет: Математика,
автор: yanchik0612