Предмет: Алгебра,
автор: Lilos131
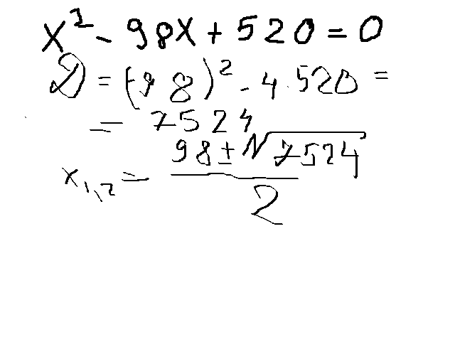
Катер прошел 36 км по течению реки и 20 км по озеру затратив на весь путь 5 часов. Найдите собственную скорость катера если скорость течения реки равна 2 км/ч
Ответы
Автор ответа:
0
решение во вложении)))))))
Приложения:
Похожие вопросы
Предмет: Математика,
автор: Poppiesdkkdkdkdk
Предмет: Русский язык,
автор: Аноним
Предмет: Химия,
автор: jokesport7
Предмет: Математика,
автор: лапа969
Предмет: Алгебра,
автор: rabaev13