Предмет: Математика,
автор: Мария1403
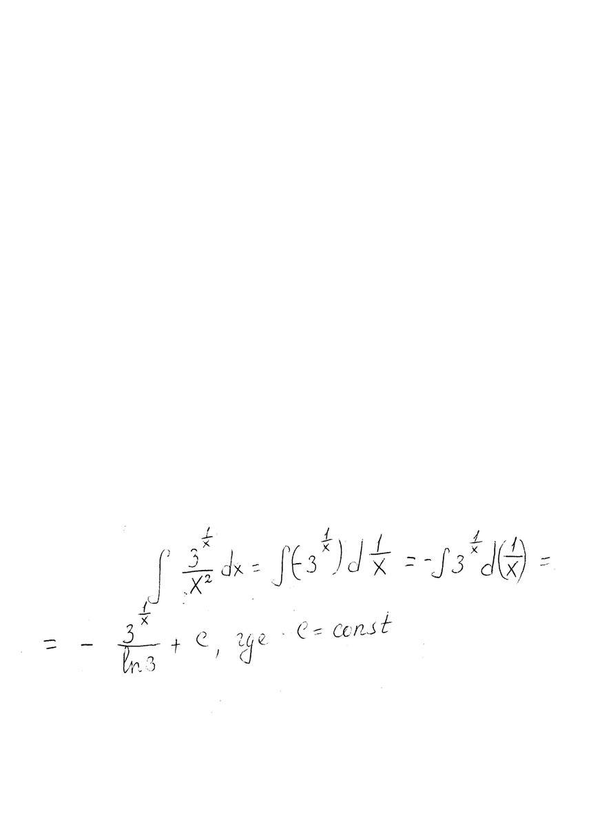
Вычислить интеграл от данной функции:
3^(1/x)/x^2
Ответы
Автор ответа:
0
Решение в приложении. Должно быть понятно.
Приложения:
Похожие вопросы
Предмет: История,
автор: polyakovasofya1
Предмет: Математика,
автор: gulsercomputers43
Предмет: Русский язык,
автор: Vinograd164
Предмет: Математика,
автор: parampam1