Предмет: Математика,
автор: MMssM
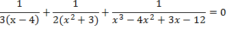
1/3(х-4) +1/(2(x^2+3))+1/(x^3-4x^2+3x-12)=0
Помогите, пожалуйста
Приложения:
Ответы
Автор ответа:
0
К общему знаменателю и должно все получиться
Автор ответа:
0
это понятно, я и не могу привести у общему знаменателю
Похожие вопросы
Предмет: Немецкий язык,
автор: minecraft22821
Предмет: Математика,
автор: ILIKEKUTG
Предмет: Математика,
автор: vovachik365
Предмет: Биология,
автор: kunsharakova
Предмет: Алгебра,
автор: 78974