Предмет: Алгебра,
автор: Аноним
Ребята спасайте, конец семестра!!!!АЛГЕБРА 9 КЛАСС Вложние внутри
Приложения:
Ответы
Автор ответа:
0
3-е 6-е 4-е и система решения во вложении))))))
Приложения:
Автор ответа:
0
нууу вообще то за столько заданий и всего 5 пунктов!!!!!! маловато
1) а/ав+2в² : 4 а²/а²+4ав+4в²= а/в(а+2в) *(а+2в)²/ 4 а² (((сокрашаем а+2в и а+2в и аиа) = а+2в/4ав
2) 6/а- (-5а²+5в²)ав -5а/в=6в+5а²-5в²-5а²/ав=в(6-5в)/ав= 6-5в/а
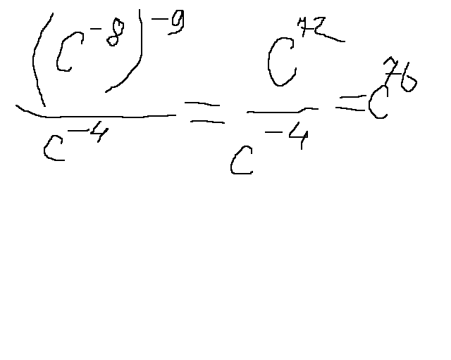
3)(с⁻⁸)-⁹ /с⁻⁴=с⁷²⁺4=с⁷⁶
4)2(7+9х)=-6х+2
14+18х=-6х+2
24х=-12
х=-12/24
х=-1/2
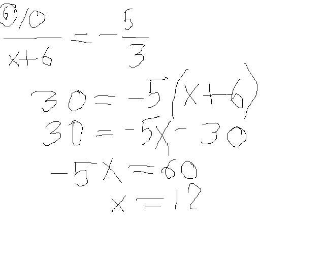
6) 10 /х+6=-5/3
30/х+6=-5х-30 /х+6
30+30=-5х
60=-5х
х=-12
система
4х-2у=-9
3х-3у=-6
4х-2у=-9
3х=-6+3у
4х-2у=-9
х=-2+у
4*(-2+у)-2у=-9
х=-2+у
-8+4у-2у=-9
х=-2+у
2у=-1
х=-2+у
у=-1/2
х=-2-1/2
у=-1/2
х=-2 ц 1/2
если успею попозже дорешаю
Приложения:
Похожие вопросы
Предмет: Обществознание,
автор: Nastyaaaa235
Предмет: Физика,
автор: richi1337
Предмет: Математика,
автор: Аноним
Предмет: Алгебра,
автор: plumka11