Предмет: Алгебра,
автор: Glaze21
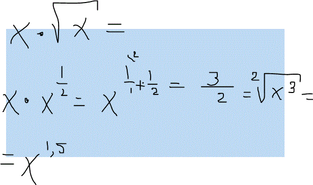
x умножить на корень из x ?
Ответы
Автор ответа:
0
...................................
Приложения:
Автор ответа:
0
Чел
Автор ответа:
0
http://znanija.com/task/14727124 как это решить?
Похожие вопросы
Предмет: Химия,
автор: Itachi6666
Предмет: Математика,
автор: Annaplekhanova555
Предмет: История,
автор: Tillsobaka
Предмет: История,
автор: Saidochka00
Предмет: Химия,
автор: RusSskiI