Предмет: Алгебра,
автор: rikhter1999
Ребят,помогите пожалуйста
Приложения:
Ответы
Автор ответа:
0
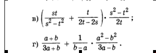
в)
1) st + t = st + t = 2st+t(s+t) =
s²-t² 2t-2s (s-t)(s+t) 2(t-s) 2(s-t)(s+t)
= 2st+st+t² = 3st+t² = t(3s+t)
2(s-t)(s+t) 2(s²-t²) 2(s²-t²)
2) t(3s+t) * s²-t² = 3s+t
2(s²-t²) 2t 4t
г)
1) 1 * a²-b² = -1 * (a-b)(a+b) = -(a+b)
b-a 3a-b a-b 3a-b 3a-b
2) a+b + -(a+b) = a+b - a+b = (a+b)(3a-b)-(a+b)(3a+b) =
3a+b 3a-b 3a+b 3a-b (3a-b)(3a+b)
=(a+b)(3a-b-3a-b) = -2b(a+b) = -2ab-2b² = 2ab+2b²
(3a-b)(3a+b) 9a²-b² 9a²-b² b²-9a²
1) st + t = st + t = 2st+t(s+t) =
s²-t² 2t-2s (s-t)(s+t) 2(t-s) 2(s-t)(s+t)
= 2st+st+t² = 3st+t² = t(3s+t)
2(s-t)(s+t) 2(s²-t²) 2(s²-t²)
2) t(3s+t) * s²-t² = 3s+t
2(s²-t²) 2t 4t
г)
1) 1 * a²-b² = -1 * (a-b)(a+b) = -(a+b)
b-a 3a-b a-b 3a-b 3a-b
2) a+b + -(a+b) = a+b - a+b = (a+b)(3a-b)-(a+b)(3a+b) =
3a+b 3a-b 3a+b 3a-b (3a-b)(3a+b)
=(a+b)(3a-b-3a-b) = -2b(a+b) = -2ab-2b² = 2ab+2b²
(3a-b)(3a+b) 9a²-b² 9a²-b² b²-9a²
Похожие вопросы
Предмет: История,
автор: skumka
Предмет: Биология,
автор: abylmansurfarhaduly
Предмет: Другие предметы,
автор: Tillsobaka
Предмет: Математика,
автор: katyushastepanova
Предмет: Биология,
автор: Юна6666