Предмет: Химия,
автор: russoklasso
20 БАЛЛОВ!!!!!!Помогите пожалуйста
Приложения:
Ответы
Автор ответа:
0
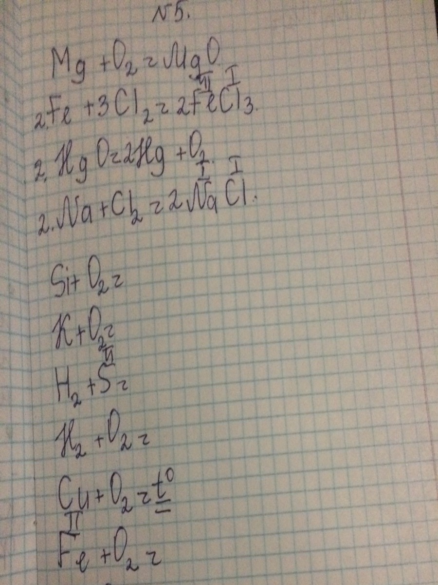
Si+O2 = SiO2
4K+O2 = 2K2O
H2 + S = H2S
2H2 + O2 = 2H2O
2Cu+O2 = 2CuO
4Fe + 3O2 = 2Fe2O3
4K+O2 = 2K2O
H2 + S = H2S
2H2 + O2 = 2H2O
2Cu+O2 = 2CuO
4Fe + 3O2 = 2Fe2O3
Автор ответа:
0
СПС
Автор ответа:
0
2mg+o2--2mgo
2Si+2O2--2SiO2
4K+O2--2K2O
h2+S--H2S
2H2+ O2--2H2O
2Cu+O2--2cuo
4Fe+3O2--2Fe2O3
2Si+2O2--2SiO2
4K+O2--2K2O
h2+S--H2S
2H2+ O2--2H2O
2Cu+O2--2cuo
4Fe+3O2--2Fe2O3
Автор ответа:
0
там вторая реакция неправильно . просто убери коофицииенты
Автор ответа:
0
СПС
Похожие вопросы
Предмет: Английский язык,
автор: vanadanilov2007
Предмет: Информатика,
автор: Petruhans
Предмет: Математика,
автор: nurlan29011979
Предмет: Математика,
автор: ольга123154
Предмет: Математика,
автор: filipok81