Предмет: Алгебра,
автор: viktoria58
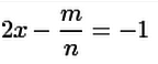
Выразить x из формулы:
Приложения:
Ответы
Автор ответа:
0
Вот 2х=m/n
x=m/2n
Ничего сложного
x=m/2n
Ничего сложного
Автор ответа:
0
При переносе -m/n за равно, знак меняется на противоположный
Автор ответа:
0
там же не умножение.
Автор ответа:
0
откуда вы взяли -1?
Автор ответа:
0
в условие же
Автор ответа:
0
всё, извините, я вас поняла
Автор ответа:
0
2x=-1+m/n
x=0.5m/n-0.5
x=0.5m/n-0.5
Похожие вопросы
Предмет: Химия,
автор: denis6253
Предмет: Литература,
автор: annaburlakovaaa
Предмет: Математика,
автор: YALUMUSULMAN
Предмет: Алгебра,
автор: dzheyms