Предмет: Алгебра, автор: nnabatchikova

ДАЮ 50 БАЛЛОВ!!!!ПОМОГИТЕ ПОЖАЛУЙСТА СРОЧНООО

Приложения:

Ответы

Автор ответа: ВладимирБ
0
Решение смотри в приложении Ответ 2
Приложения:
Автор ответа: nnabatchikova
0
Спасибо огромное)))
Автор ответа: Аноним
0
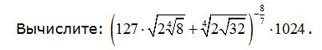
(127*2 ^{1/2} *2 ^{3/8} +2 ^{1/4}*2 ^{5/8}  ) ^{-8/7} *2 ^{10} =(127*2 ^{7/8} +2 ^{7/8} ) ^{-8/7} *2 ^{10} =(128*2 ^{7/8}) ^{-8/7}  *2 ^{10} =(2^7*2 ^{7/8}) ^{-8/7}  *2 ^{10} =2 ^{-8} *2 ^{-1}*2 ^{10} =2
Приложения:
Похожие вопросы
Предмет: Физика, автор: Alicehorselover4ever