Предмет: Алгебра,
автор: abll
Упростите выражение и найдите его значение:
1)2а^3+9 - 2(a+1)(a^2- a + 1) при а=0,5
2)x(x+2)(x-2) - (x - 3)(x^2 + 3x + 9) при х=1/4 (это дробь)
3)3(b-1)^2 + (b+2)(b^2 -2b +4) - (b+1)^3 при b = - 1/3 (это дробь)
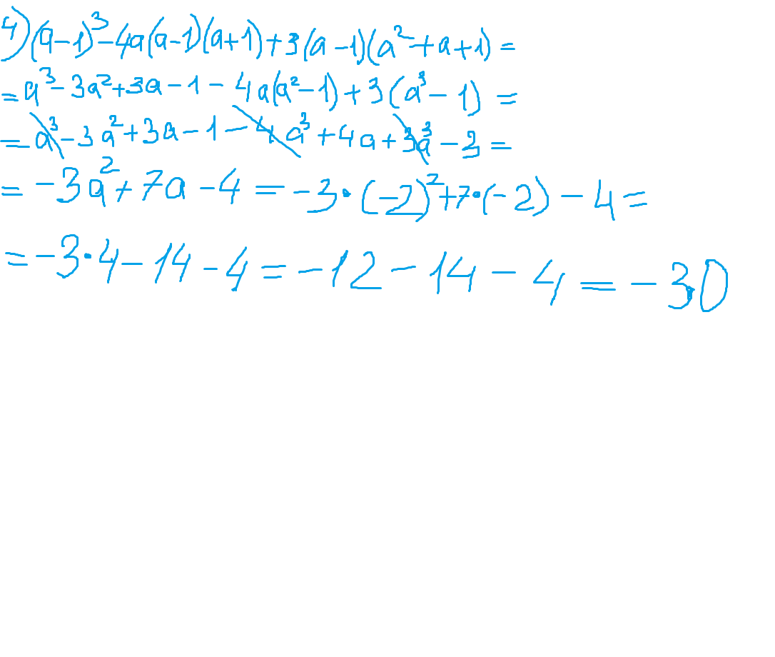
4)(a-1)^3 - 4a(a+1)(a-1) + 3(a-1)(a^2 + a +1) при а = -2
Помогите просто не успеваю!
Ответы
Автор ответа:
0
Смотри, я думаю правельно
Приложения:
Похожие вопросы
Предмет: Английский язык,
автор: davydkinasasha83
Предмет: Алгебра,
автор: shloma2007
Предмет: Физика,
автор: nimerovskaiaadelina
Предмет: Математика,
автор: загад
Предмет: История,
автор: 2910999