Предмет: Алгебра,
автор: Аноним
Помогите , я вас очень прошу решить это чёртово выражение
Приложения:
Ответы
Автор ответа:
0
(2^2√3-4^√3-1)·2^-2√3=(раскроем скобки)=2^2√3·2^-2√3-4^√3-1·2^-2√3=
=2°-4^√3/4·2^-2√3=1-2^2√3·2-2√3/4=1-2°/4=1-1/4=3/4
=2°-4^√3/4·2^-2√3=1-2^2√3·2-2√3/4=1-2°/4=1-1/4=3/4
Автор ответа:
0
Спасибо Огормное
Автор ответа:
0
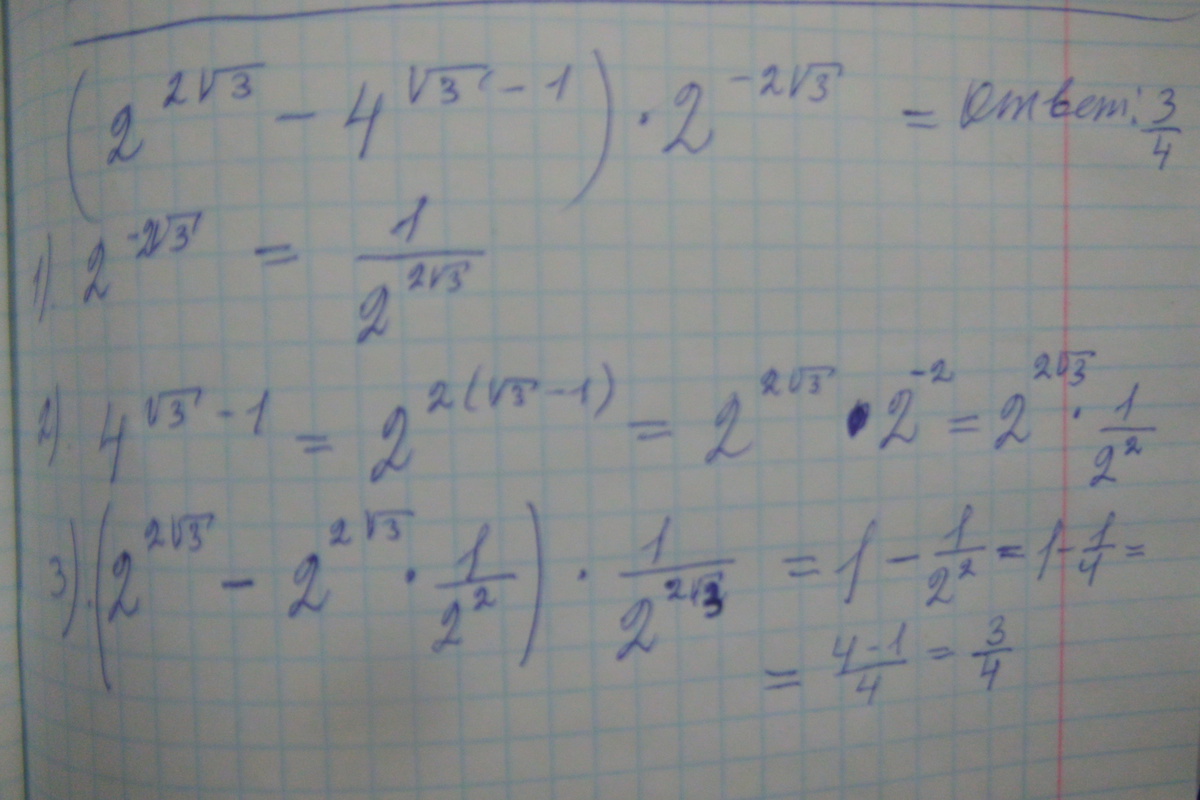
решение в приложении.
Приложения:
Автор ответа:
0
Спасибки большие
Автор ответа:
0
не вспоминайте рогатых.
Автор ответа:
0
??
Похожие вопросы
Предмет: Информатика,
автор: 122312321
Предмет: Литература,
автор: Аноним
Предмет: Математика,
автор: Anonim2356
Предмет: Физика,
автор: shakiraaa12
Предмет: Математика,
автор: настя0990