Предмет: Математика,
автор: IIIoKo1aD1k
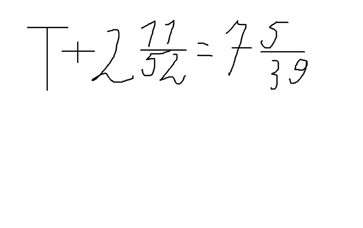
Помогите решить уравнения:
Приложения:
Ответы
Автор ответа:
0
первую дробь сокрашаешь и получается 7 со второй также как целое число следом 7х7=42 вот и все
Автор ответа:
0
5+3=8
ответ: игрек равен 3
ответ: игрек равен 3
Похожие вопросы
Предмет: Литература,
автор: anyaglykhova12
Предмет: Химия,
автор: lera20000406
Предмет: Математика,
автор: elcin82
Предмет: Геометрия,
автор: Kristinafoks09
Предмет: Информатика,
автор: Morozova110anna