Предмет: Алгебра,
автор: egirs
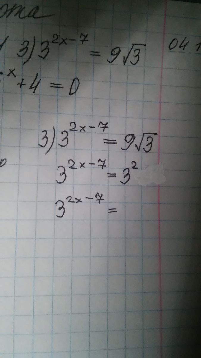
Как в теме решения показательных уравнений извлечь корень из 3 в этом примере?
Приложения:
Ответы
Автор ответа:
0
Похожие вопросы
Предмет: Другие предметы,
автор: Goggi1245hippi57
Предмет: Литература,
автор: Аноним
Предмет: Другие предметы,
автор: ssamenovaa02
Предмет: Математика,
автор: Liza1179