Предмет: Алгебра,
автор: sergo42457175
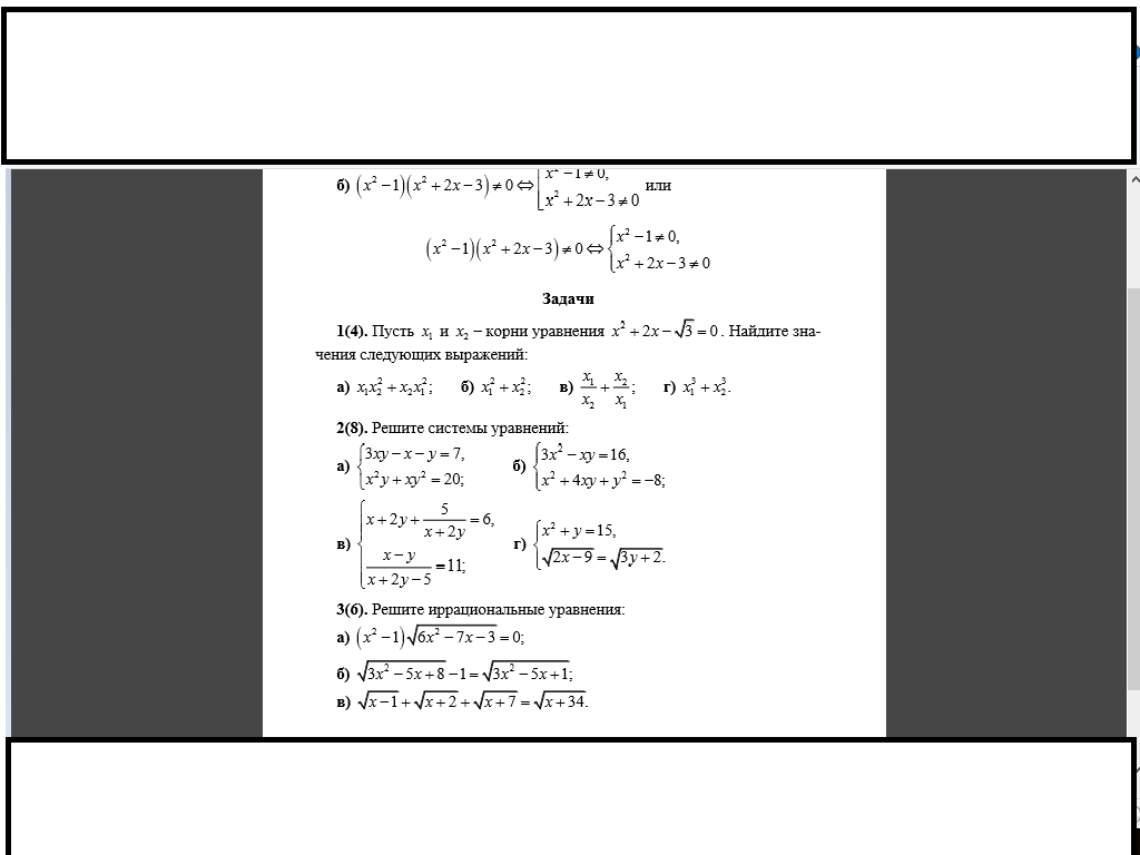
25 балов за номер3(6). Если ещё решите 1(4) буду очень признателен.
Приложения:
Ответы
Автор ответа:
0
1(4).
x²+2x-√3=0
По т.Виета:
x₁x₂= -√3
x₁+x₂= -2
a) x₁x₂²+x₂x₁² =x₁x₂ (x₂+x₁)= -√3 *(-2)=2√3
б) x₁²+x₂²=(x₁+x₂)² - 2x₁x₂=(-2)² -2*(-√3)=4+2√3
в) x₁ + x₂ = x₁² + x₂² = (x₁+x₂)² - 2x₁x₂ = (-2)² -2*(-√3) =
x₂ x₁ x₁x₂ x₁x₂ (-√3)
= 4+2√3 = (4+2√3)(-√3) = -4√3-6
-√3 (-√3)(-√3) 3
г) x₁³+x₂³=(x₁+x₂)³ -3x₁x₂(x₁+x₂)=(-2)³ - 3*(-√3)(-2)= -8-6√3
3(6).
a) (x² -1) √(6x²-7x-3)=0
ОДЗ: 6x²-7x-3≥0
6x²-7x-3=0
D=49-4*6*(-3)=49+72=121
x₁= 7-11 = -4/12 = -1/3
12
x₂= 7+11 = 18/12 =1.5
12
+ - +
--------- -1/3 -------------- 1.5 --------------
\\\\\\ \\\\\\\\
x∈(-∞; -1/3]U[1.5; +∞)
x² -1=0
x²=1
x₁=1 - не подходит по ОДЗ.
x₂ = -1
√(6x²-7x-3)=0
6x²-7x-3=0
x₁= -1/3
x₂= 1.5
Ответ: -1; -1/3; 1,5
б) √(3x²-5x+8) -1 =√(3x²-5x+1)
ОДЗ: 3x²-5x+8≥0
f(x)=3x²-5x+8 - парабола, ветви вверх
3x² -5x+8=0
D=25-4*3*8=25-96<0
Парабола не пересекает ось ОХ.
Парабола лежит выше оси ОХ.
Неравенство выполняется при любом Х.
x∈(-∞; +∞)
3x²-5x+1≥0
3x²-5x+1=0
D=25-12=13
x₁= 5-√13 ≈0.23
6
x₂= 5+√13 ≈ 1.43
6
+ - +
------------ 0.23 -------------- 1.43 --------------
\\\\\\ \\\\\\\\\\
x∈(-∞; 0,23)U(1.43; +∞)
В итоге ОДЗ - х∈(-∞; 0,23)U(1.43; +∞)
Обозначим у=3x² -5x
√(y+8) -1 = √(y+1)
√(y+8) - √(y+1) =1
y+8+2√[(y+8)(y+1)]+y+1=1
2y+9+2√(y²+8y+y+8)=1
2√(y²+9y+8)= 1-9-2y
2√(y²+9y+8)= -8-2y
2√(y²+9y+8)= -2(4+y)
-√(y²+9y+8)=4+y
y²+9y+8=(4+y)²
y² +9y+8=16+8y+y²
y²-y²+9y-8y=16-8
y=8
3x² -5x=8
3x²-5x-8=0
D=25-4*3*(-8)=25+96=121
x₁=5-11 = -1∈ОДЗ
6
x₂=5+11 = 16/6 = 8/3 = 2 ²/₃∈ОДЗ
6
Ответ: -1; 2 ²/₃.
в) √(x-1) + √(x+2) + √(x+7) = √(x+34)
ОДЗ: x-1≥0 x+2≥0 x+7≥0 x+34≥0
x≥1 x≥ -2 x≥ -7 x≥ -34
В итоге ОДЗ: x≥1
[√(x-1) + √(x+2)]² =[√(x+34) - √(x+7)]²
x-1+2√[(x-1)(x+2)]+x+2=x+34-2√[(x+34)(x+7)]+x+7
2x+1+2√(x²-x+2x-2)=2x+41-2√(x²+34x+7x+238)
2√(x²+x-2) + 2√(x²+41x+238) = 2x-2x+41-1
2(√(x²+x-2) + √(x²+41x+238)) =40
√(x²+x-2) + √(x²+41x+238)=20
[√(x²+x-2)]² = [20 - √(x²+41x+238)]²
x²+x-2 = 400 -40√(x²+41x+238)+x²+41x+238
40√(x²+41x+238) = x²-x²+41x-x+400+238+2
40√(x²+41x+238) = 40x+640
40√(x²+41x+238)= 40(x+16)
[√(x²+41x+238)]² = (x+16)²
x²+41x+238=x²+32x+256
x²-x²+41x-32x=256-238
9x=18
x=2 ∈ОДЗ
Ответ: 2.
x²+2x-√3=0
По т.Виета:
x₁x₂= -√3
x₁+x₂= -2
a) x₁x₂²+x₂x₁² =x₁x₂ (x₂+x₁)= -√3 *(-2)=2√3
б) x₁²+x₂²=(x₁+x₂)² - 2x₁x₂=(-2)² -2*(-√3)=4+2√3
в) x₁ + x₂ = x₁² + x₂² = (x₁+x₂)² - 2x₁x₂ = (-2)² -2*(-√3) =
x₂ x₁ x₁x₂ x₁x₂ (-√3)
= 4+2√3 = (4+2√3)(-√3) = -4√3-6
-√3 (-√3)(-√3) 3
г) x₁³+x₂³=(x₁+x₂)³ -3x₁x₂(x₁+x₂)=(-2)³ - 3*(-√3)(-2)= -8-6√3
3(6).
a) (x² -1) √(6x²-7x-3)=0
ОДЗ: 6x²-7x-3≥0
6x²-7x-3=0
D=49-4*6*(-3)=49+72=121
x₁= 7-11 = -4/12 = -1/3
12
x₂= 7+11 = 18/12 =1.5
12
+ - +
--------- -1/3 -------------- 1.5 --------------
\\\\\\ \\\\\\\\
x∈(-∞; -1/3]U[1.5; +∞)
x² -1=0
x²=1
x₁=1 - не подходит по ОДЗ.
x₂ = -1
√(6x²-7x-3)=0
6x²-7x-3=0
x₁= -1/3
x₂= 1.5
Ответ: -1; -1/3; 1,5
б) √(3x²-5x+8) -1 =√(3x²-5x+1)
ОДЗ: 3x²-5x+8≥0
f(x)=3x²-5x+8 - парабола, ветви вверх
3x² -5x+8=0
D=25-4*3*8=25-96<0
Парабола не пересекает ось ОХ.
Парабола лежит выше оси ОХ.
Неравенство выполняется при любом Х.
x∈(-∞; +∞)
3x²-5x+1≥0
3x²-5x+1=0
D=25-12=13
x₁= 5-√13 ≈0.23
6
x₂= 5+√13 ≈ 1.43
6
+ - +
------------ 0.23 -------------- 1.43 --------------
\\\\\\ \\\\\\\\\\
x∈(-∞; 0,23)U(1.43; +∞)
В итоге ОДЗ - х∈(-∞; 0,23)U(1.43; +∞)
Обозначим у=3x² -5x
√(y+8) -1 = √(y+1)
√(y+8) - √(y+1) =1
y+8+2√[(y+8)(y+1)]+y+1=1
2y+9+2√(y²+8y+y+8)=1
2√(y²+9y+8)= 1-9-2y
2√(y²+9y+8)= -8-2y
2√(y²+9y+8)= -2(4+y)
-√(y²+9y+8)=4+y
y²+9y+8=(4+y)²
y² +9y+8=16+8y+y²
y²-y²+9y-8y=16-8
y=8
3x² -5x=8
3x²-5x-8=0
D=25-4*3*(-8)=25+96=121
x₁=5-11 = -1∈ОДЗ
6
x₂=5+11 = 16/6 = 8/3 = 2 ²/₃∈ОДЗ
6
Ответ: -1; 2 ²/₃.
в) √(x-1) + √(x+2) + √(x+7) = √(x+34)
ОДЗ: x-1≥0 x+2≥0 x+7≥0 x+34≥0
x≥1 x≥ -2 x≥ -7 x≥ -34
В итоге ОДЗ: x≥1
[√(x-1) + √(x+2)]² =[√(x+34) - √(x+7)]²
x-1+2√[(x-1)(x+2)]+x+2=x+34-2√[(x+34)(x+7)]+x+7
2x+1+2√(x²-x+2x-2)=2x+41-2√(x²+34x+7x+238)
2√(x²+x-2) + 2√(x²+41x+238) = 2x-2x+41-1
2(√(x²+x-2) + √(x²+41x+238)) =40
√(x²+x-2) + √(x²+41x+238)=20
[√(x²+x-2)]² = [20 - √(x²+41x+238)]²
x²+x-2 = 400 -40√(x²+41x+238)+x²+41x+238
40√(x²+41x+238) = x²-x²+41x-x+400+238+2
40√(x²+41x+238) = 40x+640
40√(x²+41x+238)= 40(x+16)
[√(x²+41x+238)]² = (x+16)²
x²+41x+238=x²+32x+256
x²-x²+41x-32x=256-238
9x=18
x=2 ∈ОДЗ
Ответ: 2.
Похожие вопросы