Предмет: Алгебра,
автор: CDolphin
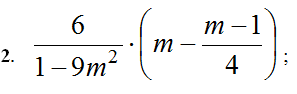
Упростите выражение.
Приложения:
Ответы
Автор ответа:
0
6/1-9m² · (m-m-1/4) =
Приложения:
Похожие вопросы
Предмет: Литература,
автор: milanamebonia
Предмет: Математика,
автор: Аноним
Предмет: Биология,
автор: mashatt2307
Предмет: Математика,
автор: oksanadanil
Предмет: Математика,
автор: kalagen