Предмет: Информатика,
автор: ionov19590
Помогите!!!!
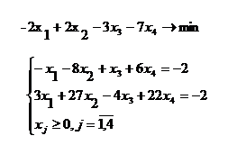
Решить графическим методом задачу с n переменными.
Приложения:
Ответы
Автор ответа:
0
просто так ой прашу не
Похожие вопросы
Предмет: Русский язык,
автор: aknazarsovetbek0
Предмет: Қазақ тiлi,
автор: df27116
Предмет: Математика,
автор: Аноним
Предмет: Физика,
автор: olakrujok
Предмет: Математика,
автор: tanj73