Предмет: Алгебра,
автор: Yulia9086
Помогите мне решить уравнение!
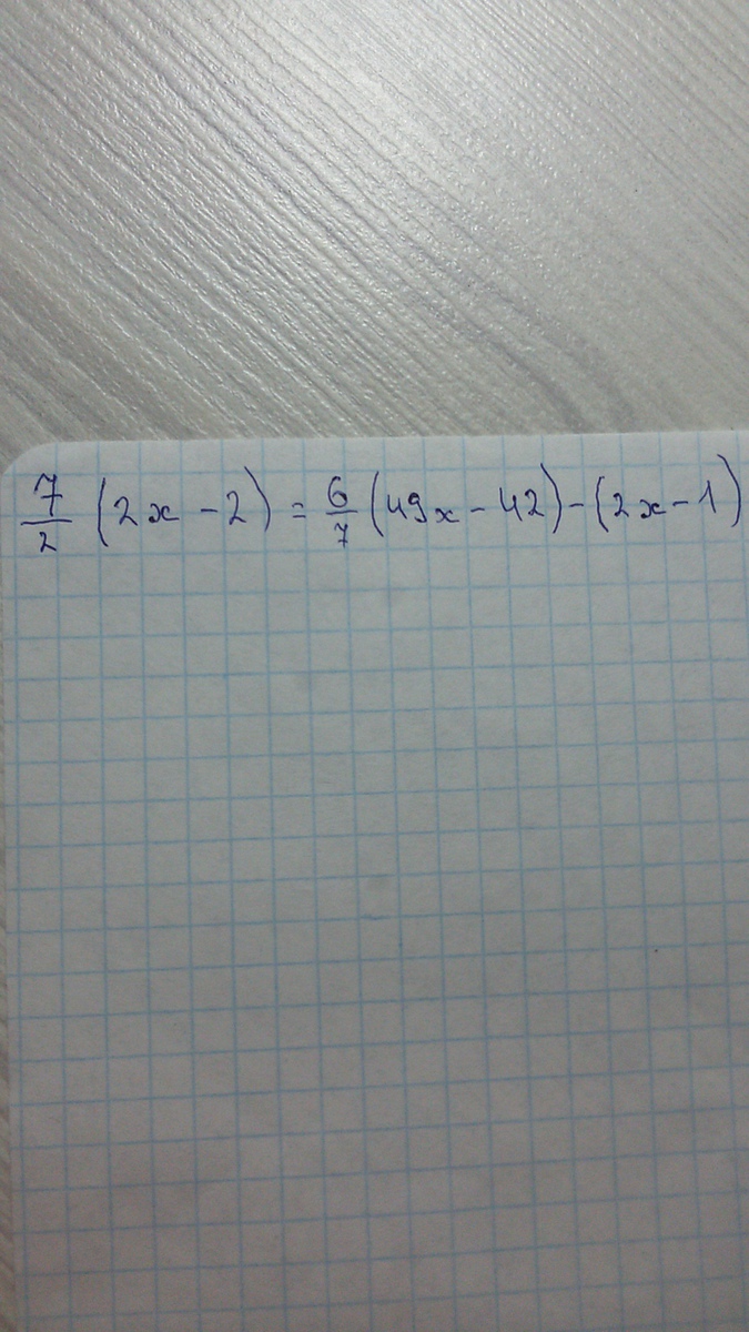
Уравнение на фото
Приложения:
Ответы
Автор ответа:
0
раскрывает скобки. получается
7x-7=42x-36-2x+1
7x-42x+2x=7+1-36
-33x=-26
x=26/33
7x-7=42x-36-2x+1
7x-42x+2x=7+1-36
-33x=-26
x=26/33
Похожие вопросы
Предмет: Музыка,
автор: Siganakovaalbina
Предмет: Химия,
автор: aserkulovaalina
Предмет: Физика,
автор: karishkalol
Предмет: Литература,
автор: petuhowaiu