Предмет: Алгебра, автор: 12344455

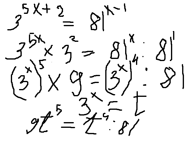
3 в степени 5x+2 = 81 в степени x-1

Ответы

Автор ответа: anonymys1
0

решение во вложении)))))))))))))))

Приложения:
Похожие вопросы