Предмет: Математика,
автор: Katiiiii
Помогите пожалуйста
22 балла.
Тема:целое уравнение и его корни
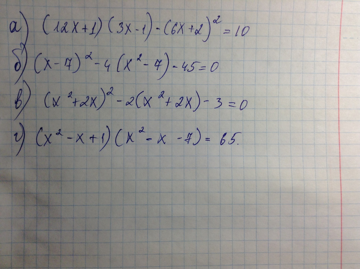
Задание на фото
Приложения:
Ответы
Автор ответа:
0
А) 36x(икс в квадрате)-12x+3x-1-36х(Икс в квадрате) - 16х + 4 = 10-12х+ 3х + 16х = -4 +1 +10 7х = 7х = 1
Похожие вопросы
Предмет: Математика,
автор: Аноним
Предмет: Физика,
автор: Radwalked
Предмет: Русский язык,
автор: sofikol09
Предмет: Математика,
автор: duachenkoolga
Предмет: Физика,
автор: просто9999