Предмет: Алгебра,
автор: merkidanova
Ребят, спасайте , помогите решить)))
Приложения:
Ответы
Автор ответа:
0
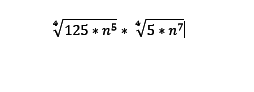
... = (5^(3+1)n^(5+7))^1/4 = (5^4^(1/4)* (n^12)^1/4)= 5 n^3
Похожие вопросы
Предмет: Физика,
автор: artembezenov49
Предмет: Қазақ тiлi,
автор: tecflex809
Предмет: Математика,
автор: zhannakudlay
Предмет: География,
автор: Alexandra0905