Предмет: Алгебра,
автор: AnnaShu32
помогите пожалуйста решить
Приложения:
Ответы
Автор ответа:
0
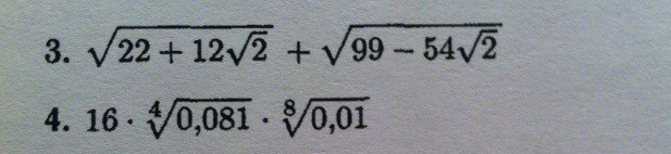
3. √(22+12√2) + √(99-54√2) = √(2*(11+6√2)) + √(9*(11-6√2))=
=√2 * √(3+√2)² + 3√(3-√2)² = √2 * (3+√2) + 3*(3-√2) =
= 3√2 + 2 +9 - 3√2 = 11
4. 16 * ⁴√0,081 * ⁸√0,01 = 16 * ⁴√(81*10⁻³) * ⁸√(1*10⁻²) =
= 16 * ⁴√3⁴ * ⁴√10⁻³ * ⁸√1 * ⁸√10⁻² =
= 16 * 3* 10^(-3/4) * 1 * 10^(-2/8) =
= 48 * 10^(-3/4 - 1/4) =
= 48 * 10⁻¹ = 4.8
=√2 * √(3+√2)² + 3√(3-√2)² = √2 * (3+√2) + 3*(3-√2) =
= 3√2 + 2 +9 - 3√2 = 11
4. 16 * ⁴√0,081 * ⁸√0,01 = 16 * ⁴√(81*10⁻³) * ⁸√(1*10⁻²) =
= 16 * ⁴√3⁴ * ⁴√10⁻³ * ⁸√1 * ⁸√10⁻² =
= 16 * 3* 10^(-3/4) * 1 * 10^(-2/8) =
= 48 * 10^(-3/4 - 1/4) =
= 48 * 10⁻¹ = 4.8
Похожие вопросы
Предмет: Геометрия,
автор: seesawvw
Предмет: Алгебра,
автор: bvbcvbc888999
Предмет: Другие предметы,
автор: mryega44
Предмет: Химия,
автор: parapapa1
Предмет: Геометрия,
автор: 1998olesyachel