Предмет: Алгебра,
автор: Нана12
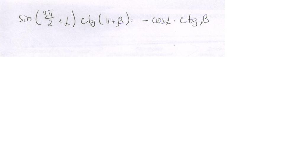
Во вложениях, помогите пожалуйста
Приложения:
Ответы
Автор ответа:
0
см. вложение
\\\\\\\\\\\
\\\\\\\\\\\
Приложения:
Похожие вопросы
Предмет: Физика,
автор: bmysnik
Предмет: Литература,
автор: abccab
Предмет: Математика,
автор: gubanovasana
Предмет: Химия,
автор: Masha2513
Предмет: Математика,
автор: Mixovayulia