Предмет: Алгебра,
автор: tania26grechko
Очень нужно , помогите пожалуйста
Приложения:
Ответы
Автор ответа:
0
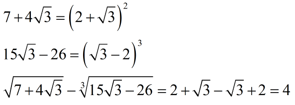
решение находится в файле
Приложения:
Похожие вопросы
Предмет: Қазақ тiлi,
автор: aktore08
Предмет: Физика,
автор: lysakana83
Предмет: Математика,
автор: unicornshow66
Предмет: Математика,
автор: Gaz15
Предмет: Математика,
автор: Аноним