Предмет: Алгебра,
автор: катюшечкаааа
Произведение второго и восьмого членов геометричесой прогрессии равно 36. Найти пятый член этой прогрессии.
Ответы
Автор ответа:
0
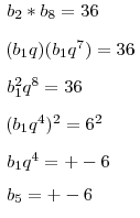
Произведение второго и восьмого членов геометричесой прогрессии равно 36. Найти пятый член этой прогрессии.
Решение таково:
Приложения:
Похожие вопросы
Предмет: Математика,
автор: makoasauginova
Предмет: Химия,
автор: nikitinalera2006
Предмет: Математика,
автор: uksukbaevnurbek
Предмет: Химия,
автор: dante000
Предмет: Литература,
автор: Paris190