Предмет: Алгебра,
автор: Решалкаубивалка
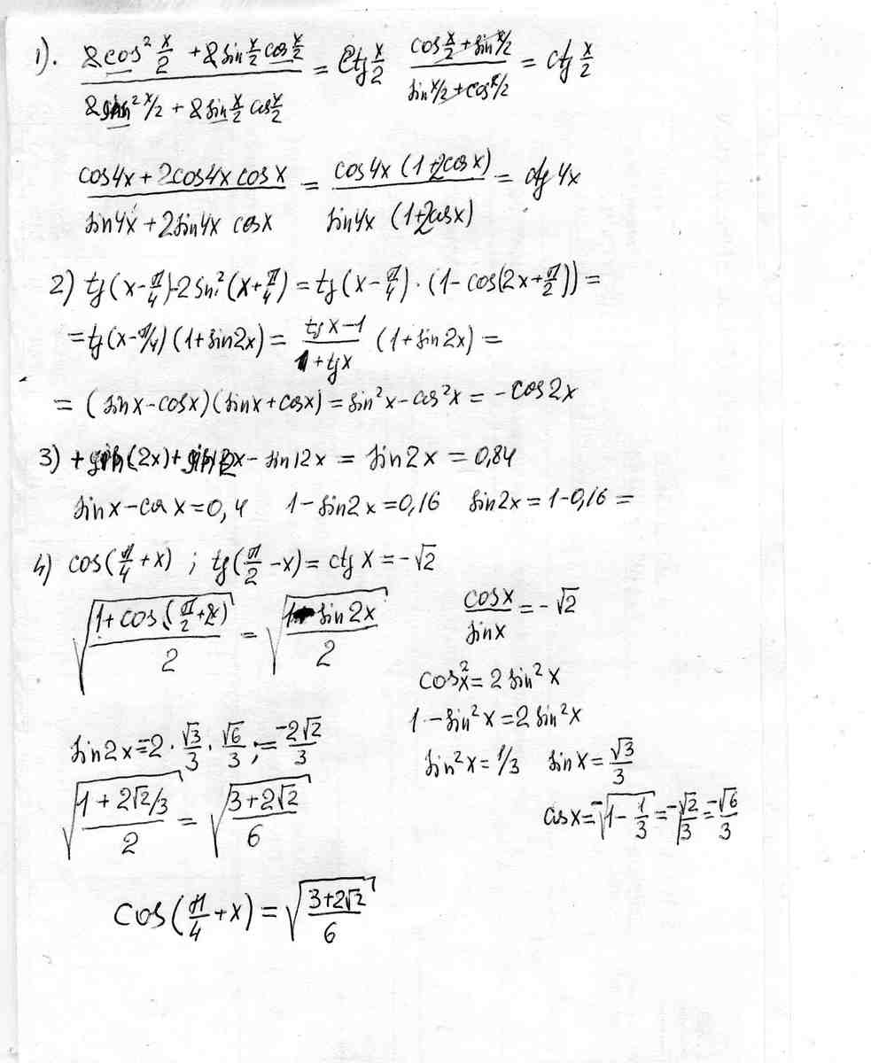
смотрите фотки.Кто решит вам большое спасибо!)
Приложения:
Ответы
Автор ответа:
0
наконец смог все дорешать...........................
на третьем листке.
х=0 х=П/5 и x=2П/5
Приложения:
Похожие вопросы
Предмет: Другие предметы,
автор: timurabaj130
Предмет: Физика,
автор: Syplexis
Предмет: Информатика,
автор: kosmosplanet25
Предмет: Химия,
автор: MarinKa979797
Предмет: Физика,
автор: Юлия081997