Предмет: Геометрия,
автор: Ilyacss2015
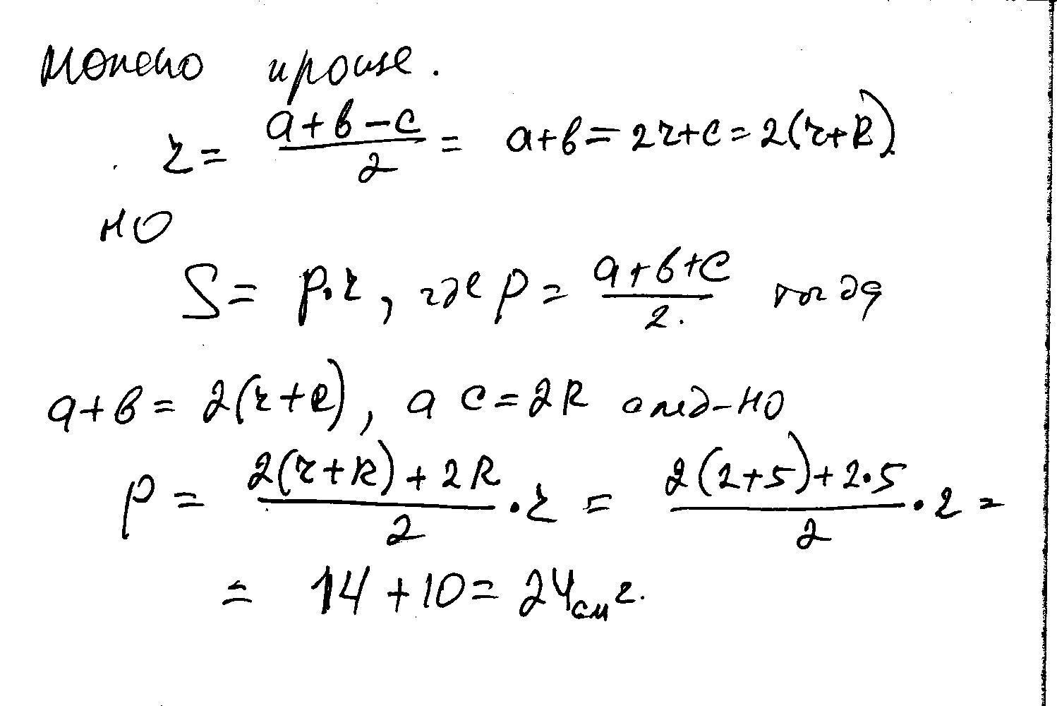
Найдите площадь прямоугольного треугольника, если радиус вписанной в него окружности r=2 см, а радиус описанной окружности R=5 см. (помогите пожалуйста)
Ответы
Автор ответа:
0
решение (2 варианта) в скане...........
Приложения:
Похожие вопросы
Предмет: Русский язык,
автор: lol7128
Предмет: Геометрия,
автор: salihanurbecova
Предмет: Английский язык,
автор: lyanova1
Предмет: Алгебра,
автор: BladeRunner