Предмет: Алгебра,
автор: dashenkakravch
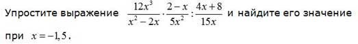
Решите срочно плииииз
Приложения:
Ответы
Автор ответа:
0
Ответ: 9/7= 1 целая 2/7
Автор ответа:
0
Ответ 9?
Автор ответа:
0
1 целая 2/7)
Похожие вопросы
Предмет: География,
автор: Аноним
Предмет: Математика,
автор: Madonna123
Предмет: Информатика,
автор: al20alexandra
Предмет: Математика,
автор: Аноним
Предмет: Биология,
автор: delenainTVD