Предмет: Алгебра,
автор: pavel3007
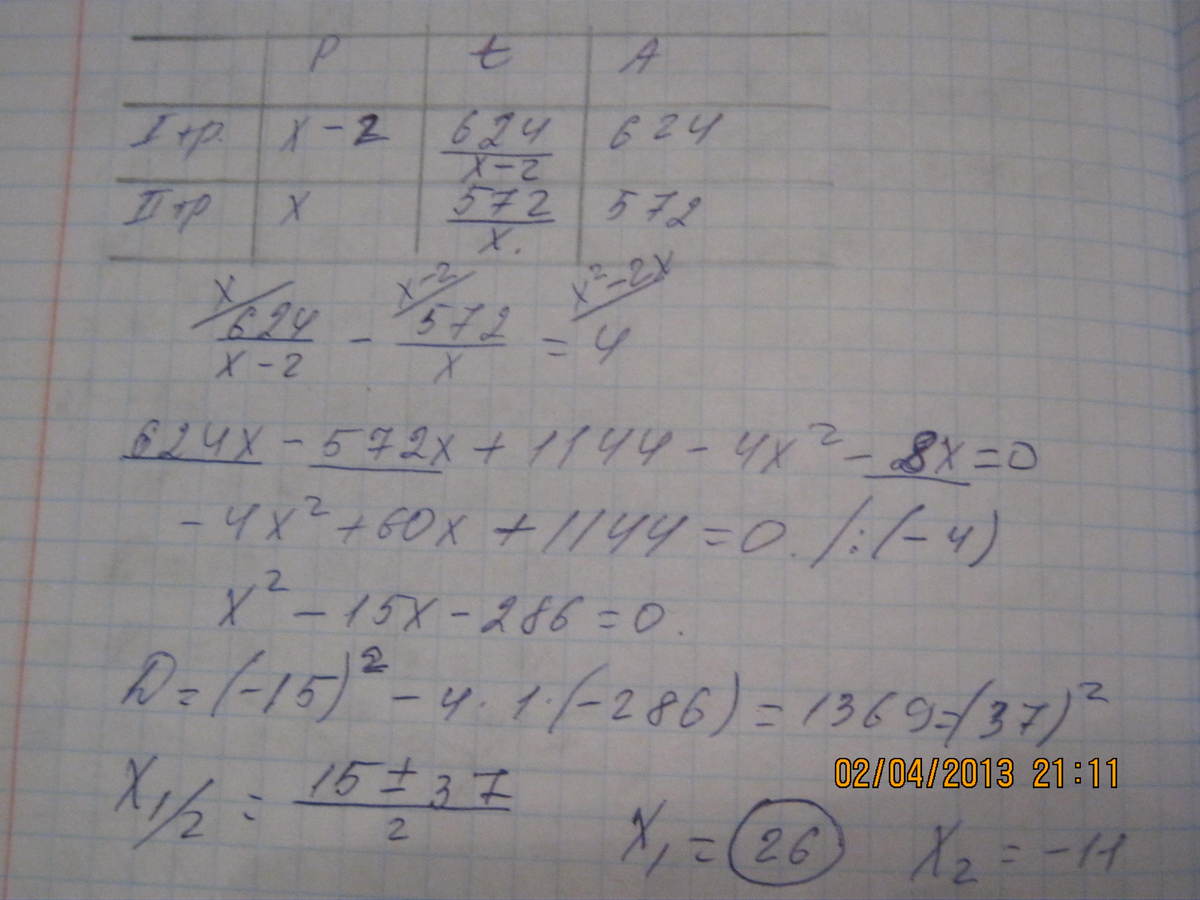
Первая труба пропускает на 2 литра воды в минуту меньше, чем вторая. Сколько литров воды в минуту пропускает вторая труба, если резервуар объёмом 572 литра она заполняет на 4 минуты быстрее, чем первая труба заполняет резервуар объёмом 624 литра?
Ответы
Автор ответа:
0
Для того что бы решить задание такого типа надо построить таблицу!!!
Приложения:
Похожие вопросы
Предмет: Геометрия,
автор: vladaakovcenko52
Предмет: Русский язык,
автор: dimon23413
Предмет: Другие предметы,
автор: amir0812
Предмет: Математика,
автор: 210399o