Предмет: Алгебра, автор: Kate360

До завтра пожалуйста

Приложения:

Ответы

Автор ответа: Rossomaxa2001
0
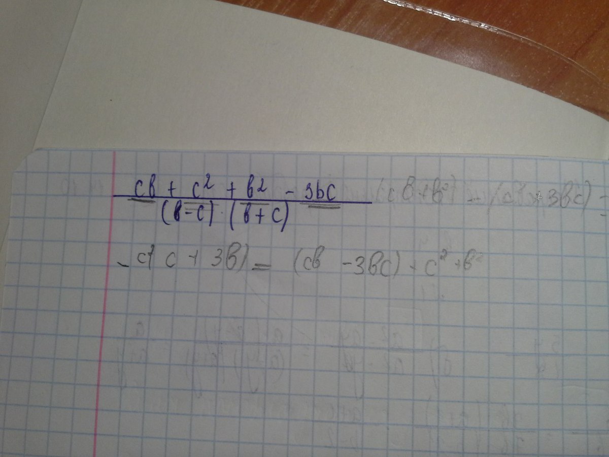
 frac{cb+c ^{2}+b ^{2}-3bc  }{(b-c)*(b+c)}= frac{b ^{2}-2bc+c ^{2}  }{(b-c)*(b+c)}= frac{(b-c) ^{2} }{(b-c)*(b+c)}= frac{b-c}{b+c}
Автор ответа: Rossomaxa2001
0
cb -это то же самое, что и bc
Автор ответа: Rossomaxa2001
0
пожалуйста
Автор ответа: Kate360
0
единственный добрый человек,который помог)
Автор ответа: Rossomaxa2001
0
рада была помочь)
Автор ответа: Kate360
0
^_^
Похожие вопросы
Предмет: Русский язык, автор: Devochka2828
Предмет: Математика, автор: sashulyatymchenko