Предмет: Алгебра, автор: ok1999

Решите уравнение пожалуйста

Приложения:

Ответы

Автор ответа: bearcab
0
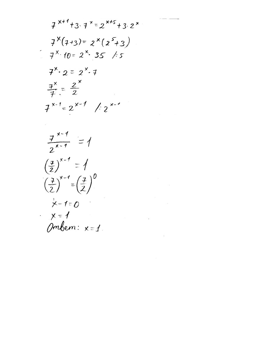
Решение в приложении.
Приложения:
Похожие вопросы
Предмет: Русский язык, автор: sahovag1984
Укажите неверное высказывание. *
1 балл
а) Предлог связывает однородные члены предложения.
б) Предлоги бывают производными и непроизводными.
в) Предлоги — неизменяемые слова.
Вариант 1
2. Укажите верные высказывания. *
2 балла
а) Предлог не является членом предложения.
б) Некоторые предлоги могут употребляться с несколькими
падежами.
в) Предлог вносит различные дополнительные оттенки значения в предложения.
3. Укажите словосочетание с предлогом. *
1 балл
а) Распустилась под окном;
б) Саша и Даша;
в) не было никого.
4. Укажите словосочетания с предлогами. *
3 балла
а) Красиво, но дорого;
б) выйти из-за поворота;
в) вспыхивать то тут, то там;
г) стояли вокруг площади;
д) взял бы его;
е) в течение многих дней.
5. Укажите словосочетания с производным предлогом. *
1 балл
а) рос над водой;
б) лежал под столом;
в) демобилизация вследствие ранения.
6. Укажите словосочетания с производными предлогами. *
2 балла
а) Из далекой страны;
б) находился в течение дня;
в) проехали мимо музея;
г) благодаря выпавшему снегу;
д) без хорошего друга;
е) вздрогнул от неожиданности.
Предмет: Окружающий мир, автор: valerikmantya
Предмет: Биология, автор: kradionova16