Предмет: Алгебра,
автор: даданет
Помогите пожалуйста, мне очень надо
При каком значении переменной:
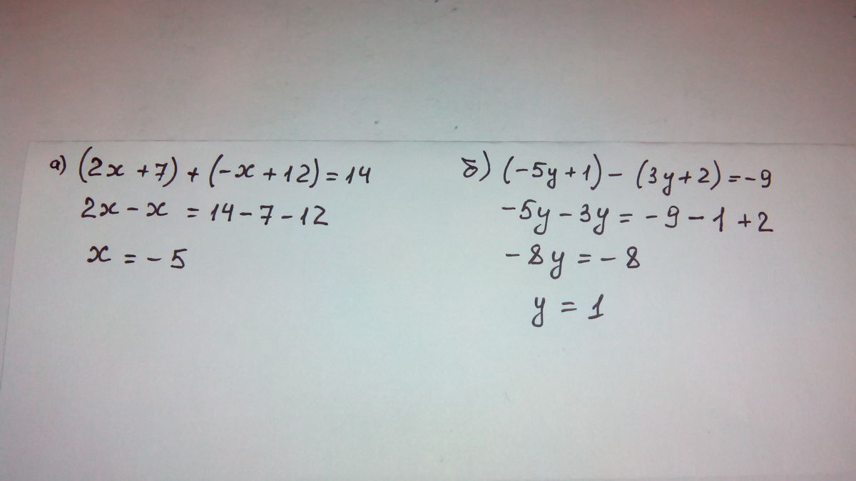
а) сумма выражений 2х+7 и -х+12 равна 14
б) разность выражений -5у+1 и 3у+2 равна -9
Если можно подробное решение
Ответы
Автор ответа:
0
значения переменных следующие
а) х=-5
б) у=1
а) х=-5
б) у=1
Приложения:
Автор ответа:
0
А как решать? У меня не получается решение
Автор ответа:
0
решение в прикрепленном файле)))
Автор ответа:
0
Не понял я что-то
Автор ответа:
0
a) после приведения подобных слагаемых получаем x+19=14, далее константу переносишь к константам т.е 14-ти с отрицательным знаком и выделяешь коофициент (разделив правую часть получил. зн. на левую). Второе уравнение решается аналогичным образом.
Приложения:
Похожие вопросы
Предмет: Другие предметы,
автор: solomiakozik2004
Предмет: Математика,
автор: arysman2
Предмет: Биология,
автор: kate228ge
Предмет: Алгебра,
автор: damirsadykov2
Предмет: Математика,
автор: arai112000