Предмет: Алгебра, автор: swallow2303

решите пожалуйста

буду очень благодарна

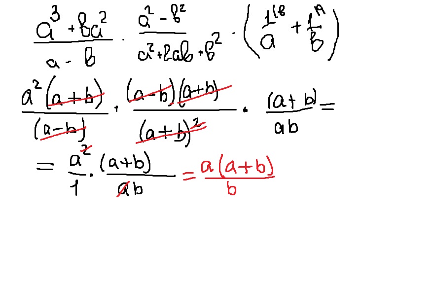
пример во вложениях

Приложения:

Ответы

Автор ответа: Аноним
0

см.влож

=====================

 

Приложения:
Похожие вопросы
Предмет: Физика, автор: novatoma